平安银行股份有限公司与浙江省浙商资产管理股份有限公司债权转让暨债务催收联合公告
![]() |
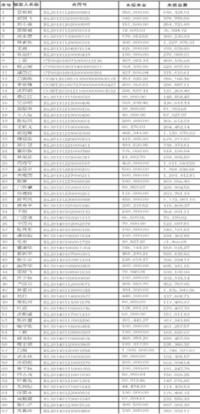
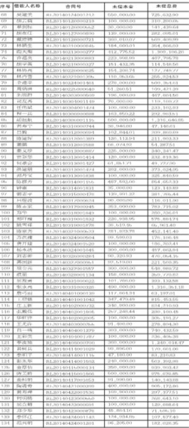
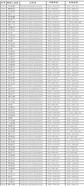
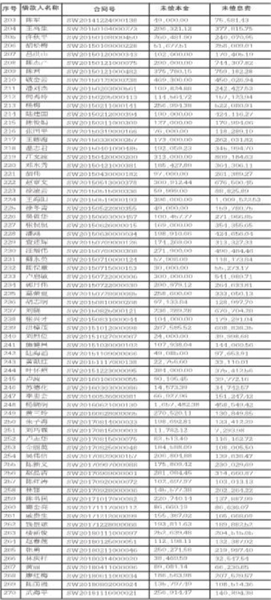
| 附件一: 贷款债权明细表 |
![]() |
![]() |
![]() |
根据平安银行股份有限公司(下称“平安银行”)与浙江省浙商资产管理股份有限公司(下称“浙商资产”)签署的编号为PAPZ2022048TGHZ的《债权资产转让合同》,平安银行将对《公告清单》(详见附件)中所列的债权及其附属权利,依法批量转让给浙商资产,平安银行及浙商资产特发公告通知各债务人及保证人(如有)以及相关承继人。
浙商资产作为上述债权的受让人,现要求公告清单中所列债务人(包括债务承继人),从公告之日起立即向浙商资产履行主债权合同及相关文件约定的还本付息义务及其他相应的义务。公告未尽事宜,均以双方签署的转让合同为准。
特此公告。
平安银行联系人:龙小姐 电话:18969069319
浙商资产联系人:许先生 电话:17621703356
平安银行股份有限公司
浙江省浙商资产管理股份有限公司
2022年12月29日



